Alles Mögliche zu
p
Was soll das ganze Pipapo um dieses
p
?
p
= 2
p
= 0
p
und die Erschaffung der Welt.
Die
p
phonie:
Die Nachkommastellen hörbar gemacht!
p
riechbar gemacht!
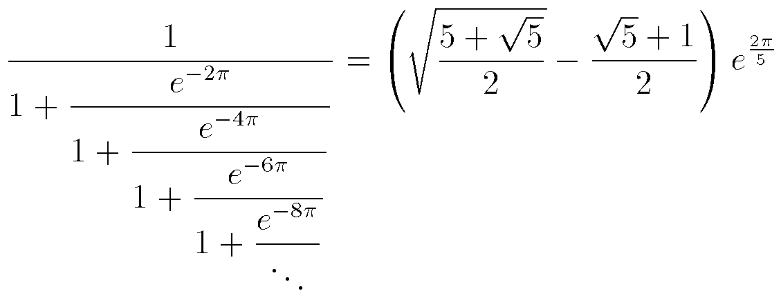
Eine Formel mit
p
von
Ramanujan
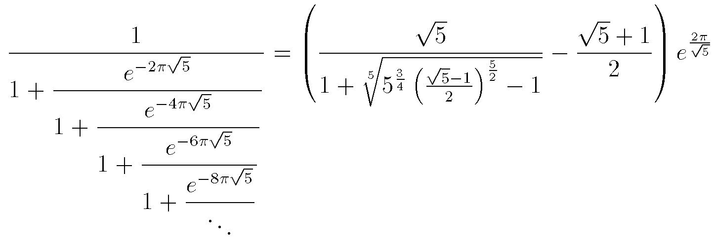
Noch eine Formel mit
p
von
Ramanujan
Die Geschichte von
p
Die Magie der Zahl
p
(Umfangreicher Aufsatz)
Die ersten 10000 Stellen von
p
Das
p
-Buch
Algorithmen, Computer, Arithmetik
San Francisco Exploratorium
Pi-Page
Van Ceulen's Home Page
Ist Pi normal?
Where is your birthday in
p
?
ZUR MATHEMATK